|
Série d’exercices
Exercice 01 :
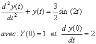
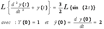
- Déterminer la solution de l’équation différentielle suivante :
Exercice 02 :
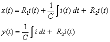
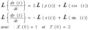
- Déterminer la fonction x(t) et y(t) vérifiant :
Je tien a préciser qu’il faut impérativement s’exercer a résoudre beaucoup d’exercices, tout au tend comprendre les significations physiques
Exercice 03:
Soit le circuit électrique d’un correcteur à retard de phase.
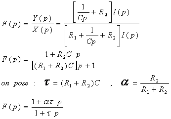
1. Calculer la fonction de transfert du circuit électrique.
2. Ecrire l’équation différentielle de ce circuit.
3. Tracer sans effectuer aucun calcul, la réponse de ce circuit à entrée échelon.
4. Décrire ce circuit par un schéma bloc a boucle.
Solution de la série d’exercices
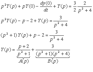
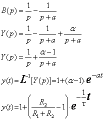
Exercice 01 :
- On appliquant la transformée de Laplace à l’équation différentielle:
On appliquant le théorème de la dérivation, on a :
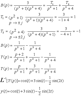
On décompose en éléments simples :
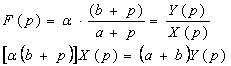
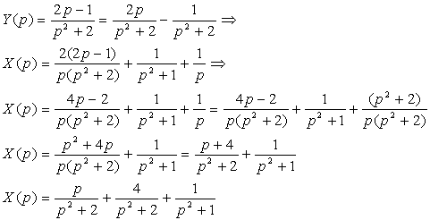
Exercice 02 :
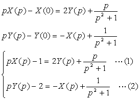
- On appliquant la transformée de Laplace à l’équation différentielle:
On appliquant le théorème de la dérivation, on a :
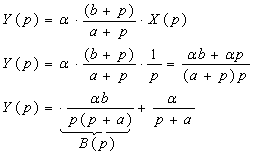
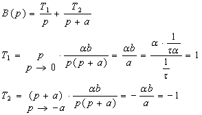
On résolvant le système d’équation on a:
On appliquant la transformée de Laplace inverse sur X(p) et Y(p) obtenus, on obtient:
Exercice 03:
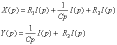
Application de la transformée de Laplace :
1.
On peut l’écrire sous autre forme :
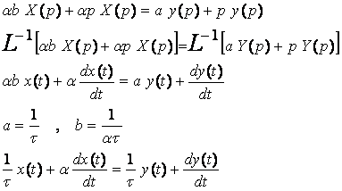
2. Le circuit est un correcteur à retard de phase.

Donc on aboutit a :
Finalement l’équation différentielle est :
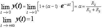
3.
La réponse a un échelon unitaire :
La décomposition en éléments simples :
La courbe de la réponse de y(t) si on injecte un signal x(t) a un échelon unitaire :
4.
 |