Click here to download PDF File

Download

Email me at Ahmed_khamari@yahoo.com ; Your  Comments are welcomed
Rappels mathématique

Rappels de mathématique

 

I.  Définition de la transformée de Laplace :

On appelle transformée de Laplace de f et notée F, ou encore Lf,la fonction définie sur l’ensemble des nombres complexes p tels que Re (P) > a par la formule :

…… (1)

     Propriétés :

La linéarité de l’intégrale montre que la transformation de Laplace est linéaire :

 …… (2)

 

II. Applications :

1.  Fonction de HEAVISIDE ou échelon unité :

La fonction constante et égale à 1 n’admet pas de transformée de Laplace puisqu’elle n’est pas intégrable sur l’intervalle ]-∞, +∞ [  ,  c’est pourquoi l’on introduit la fonction ε (t) de HEAVISIDE, ou échelon unité, définie par :

Donc :

                       

               

D’où

                                               
  

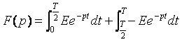
2.  Cas de fonction périodique :

Chercher la transformée de Laplace du signale rectangulaire de période T définie par :

La formule générale s’écrit :

    

                                  

                                  

 

III.    Exercices :

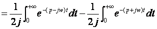
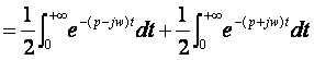
Calculer les transformées de Laplacede f(t)=cos(wt) et g(t)=sin(wt) sachant que :

On tire :

III.1 : F(p)= ?

                                       

    

                                              

D’où :

III.2 :G(p)= ?

                                      

    

                                              

D’où :

 

IV.    Propriétés des transformées de Laplace :

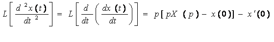
   1.   Théorème de la dérivation :

           

Pour déterminer la transformée de Laplace de la dérivée de x(t), ou on a :

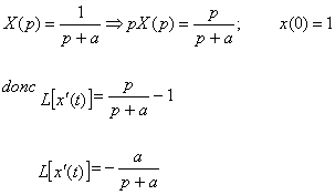
Finalement :

D’où : 

                                   

Application:      x(t)=

Déterminer        

     2.  Théorème des transformées de Laplace :

Soitx(t),

L[x(t)]=X(p),

Si          

Selon le théorème de la dérivation :

                                    X(p) = p Y(p) - y(0)

D’où :

                          

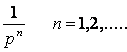
V.  Tableau des transformées de Laplace :

x(t)

X(p)

1

1

T

 

[Home] [Introduction] [Sommaire] [Cours] [Chapitre I] [Chapitre II] [Capitre III] [Chapitre IV] [Chapitre V] [Chapitre VI] [Chapitre VII] [Chapitre VIII] [Exercices]