|
Précision des systèmes asservis
I. Introduction :Rappelons qu’un système asservis doit être non seulement stable mais il doit répondre aux exigences technologiques telles que la rapidité de la réponse et la précision par rapport a la valeur souhaitée.
II. Définition de la précision : La précision est la différence entre la valeur souhaitée du réglage (consigne) et la sortie du système à régler (s(t)).
III.Rappel mathématique :
Théorème des limites :Il est possible d’obtenir les valeurs initiales et finales de s(t)à partir de sa transformée de Laplace.
a) Valeur initiale :
b) Valeur finale :
IV. Précision statique : Soit l’étude de la précision d’un système a retour unitaire :
La précision statique est la différence entre la valeur souhaitée et la valeur de la sortie au régime permanent.
… (1)
Selon le théorème de la valeur finale :
… (2)
Remarque : Si la chaîne de retour est une fonction de p la précision statique est évaluée de la même méthode. La résultat dépend du type d’existence imposé à l’entrée du système.
Le schéma équivalent de la figure -1- est :
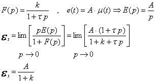
Exemple :
Soit un système du premier ordre avec une entrée échelon .
V. Précision dynamique :
La précision dynamique consiste essentiellement à étudier le régime transitoire de la réponse du système asservi soumis à une entrée typique.
Contrairement a la précision statique, qui est évaluée lorsque t tend vers
, la précision dynamique est déterminée par la fonction εd(t) qui caractérise la différence entre la valeur réelle du signal de sortie s(t) et celle qui est souhaitée.
Exemple :
Système du 1ier ordre avec une entrée échelon.
 |